Hjælp os med at holde TangoMike i gang!Vi er en 100% frivillig og kontingentfri forening.Din støtte går direkte til drift af vores hjemmeside, arrangementer, træf og udvikling af fællesskabet.Hver donation – stor som lille – gør en forskel 💙
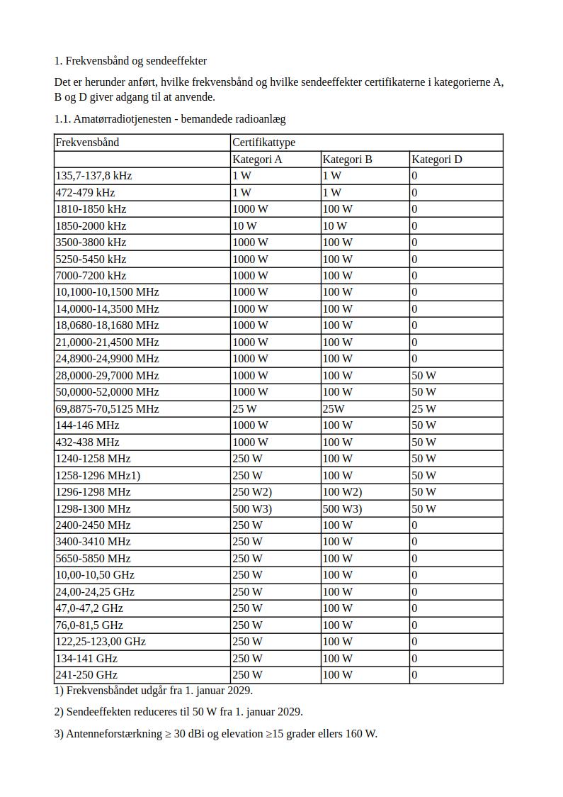
Bekendtgørelse om anvendelse af radiofrekvenser